
本网讯(通讯员 姜沛/文 图)近日,物理与电子工程学院新能源材料与器件团队在多铁材料研究方面取得新进展。研究成果以题为“Complex magnetic transitions and possible orbital ordering in multiferroic Co3TeO6single crystal”发表在凝聚态物理著名期刊《Physical Review B》上。新葡萄官网刘从斌博士为该论文的第一作者,新葡萄8883官网AMG为第一通讯单位。
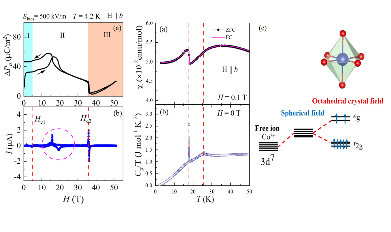
在此项研究中,刘从斌博士报道了新型的方法生长出多铁性材料Co3TeO6单晶,并研究了其在60 T强磁场下的磁相变和磁致铁电极化行为,并阐述了铁电极化产生的物理机制。研究发现磁场H//b时磁化强度曲线在Hc1和Hc2揭示了两个新的spin-flop磁相变;铁电极化与磁场的关系曲线形成了三个铁电区域相I, II,和III,其边界兼容于磁相变的临界场Hc1和Hc2,说明铁电相与磁相之间存在强烈的关联性,铁电极化受控于磁性序参量的演变过程。磁化率上磁矩的跳变行为与比热Cp/T的一级相变是兼容的,可能与Co2+离子t2g轨道简并态消除有关,也可能与电荷重新分布形成的电荷密度波有关。该研究为探究复杂磁电耦合体系中自旋、轨道和晶格等对铁电极化的调制行为提供了新的研究视角。
该研究受到了国家自然科学基金、河南省特需急需特色骨干学科群等项目资助。
论文链接:https://journals.aps.org/prb/abstract/10.1103/PhysRevB.109.214408